logo
Products
Services
Resources
Selection Guides
About
TCO Building Blocks
AAT Bioquest offers a comprehensive selection of trans-cyclooctene (TCO) building blocks for bioorthogonal click chemistry applications. TCO reagents undergo ultrafast inverse electron-demand Diels-Alder (iEDDA) reactions with tetrazine-functionalized molecules, enabling rapid, selective biomolecule labeling under physiological conditions. This catalog features TCO-functionalized fluorescent dyes spanning the full visible and near-infrared spectrum, ideal for FACS, FISH, microscopy, and live-cell imaging applications.
Product Series
Spectral Range
Best For
Key Advantage
iFluor® TCO
Green to Far-Red (488-647 nm)
Flow cytometry, microscopy
Superior brightness & photostability
XFD TCO
UV to NIR (350-790 nm)
Flow cytometry, microscopy
Alexa Fluor® replacements, full spectrum coverage
AATOM™ TCO
Blue to Deep Red (390-700 nm)
FACS, FISH
Excellent photostability
Cyanine TCO
Orange to Far-Red (555-670 nm)
Single-molecule imaging, FRET
Classic Cy3/Cy5 fluorophores
Non-Fluorescent TCO
N/A
Custom conjugation, calcium chelation
Reactive handles for bioconjugation
iFluor® TCO Dyes

iFluor® TCO dyes are AAT Bioquest's premium fluorescent TCO dyes designed for tetrazine-mediated bioorthogonal labeling. These dyes react rapidly with tetrazine-functionalized biomolecules through iEDDA cycloaddition, producing stable conjugates under physiological conditions without catalysts or harsh reagents.
Key Features
  • Superior brightness – iFluor® dyes are significantly brighter than traditional fluorophores including FITC, Cy3, and Cy5
  • Enhanced photostability – Outperforms Alexa Fluor® and Cy dyes in long-term imaging applications
  • Excellent water solubility – Minimizes aggregation and non-specific binding
  • Ultrafast reaction kinetics – TCO-tetrazine ligation proceeds with rate constants >10⁴ M⁻¹s⁻¹
  • Biocompatible – Non-toxic labeling suitable for live-cell applications
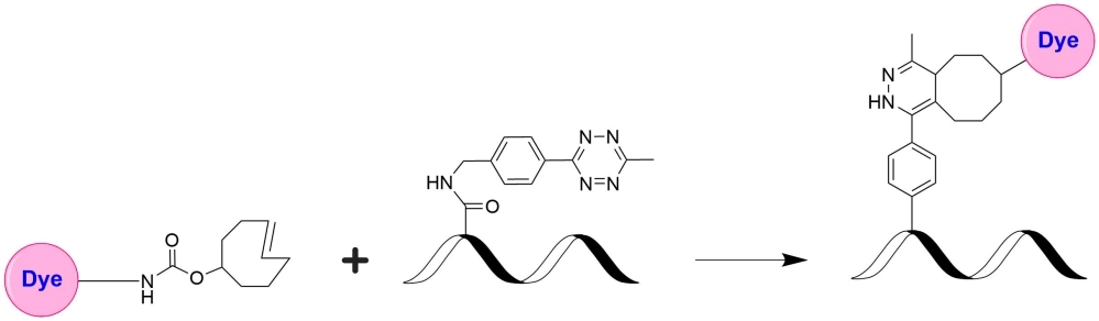
Fig. 1
The tetrazine-trans-cyclooctene (TCO) ligation constitutes a non-toxic biomolecule labeling method of unparalleled speed.
The tetrazine-trans-cyclooctene (TCO) ligation constitutes a non-toxic biomolecule labeling method of unparalleled speed. A tetrazine-functionalized molecule reacts with a TCO-functionalized molecule, forming a stable conjugate via a dihydropyrazine moiety. This has gained popularity due to its extremely fast kinetics. iFluor® 488-TCO can be readily used to label tetrazine-modified biological molecules for fluorescence imaging and other fluorescence-based biochemical analysis.
XFD TCO Dyes (Alexa Fluor® Replacements)

XFD TCO dyes are spectrally matched to Alexa Fluor® dyes, offering researchers a cost-effective alternative with equivalent or superior performance. These TCO-functionalized dyes provide the broadest spectral coverage in our portfolio, from UV-excitable blue dyes to near-infrared emitters suitable for in vivo imaging applications.
Key Features
  • Alexa Fluor® spectral equivalents – Direct substitutes for common Alexa Fluor® wavelengths
  • Full spectrum coverage – 19 options from 350 nm to 790 nm emission
  • Optimized for flow cytometry and microscopy – Validated for common laser lines
  • High extinction coefficients – Strong absorbance for efficient excitation
  • Cost-effective – Premium performance at competitive pricing
AATOM™ TCO Dyes

AATOM™ TCO dyes provide researchers with high-performance alternatives for demanding applications such as FACS, FISH, and super-resolution microscopy. These dyes combine exceptional photostability characteristics with the convenience of TCO bioorthogonal chemistry.
Key Features
  • Outstanding photostability – Resistant to photobleaching for extended imaging
  • High quantum yields – Bright fluorescence for sensitive detection
  • 17 wavelength options – From blue (390 nm) to deep red (700 nm)
  • Validated for FACS and FISH – Optimized for flow cytometry and in situ hybridization
AATOM™ dyes are manufactured by AAT Bioquest and are not affiliated with ATTO-TEC GmbH.
Cyanine and Classic TCO Dyes

Classic cyanine dyes (Cy3, Cy3B, Cy5) and rhodamine-based Texas Red are available as TCO-functionalized dyes for researchers requiring well-characterized fluorophores with established literature references. These dyes are particularly popular for single-molecule imaging, FRET studies, and applications where direct comparison to published work is essential.
Key Features
  • Established fluorophores – Cy3, Cy3B, and Cy5 with extensive literature support
  • Single-molecule compatible – Excellent brightness for single-molecule detection
  • FRET pairs – Cy3/Cy5 is a classic donor-acceptor pair
  • Texas Red single isomer – High purity for reproducible results
Non-Fluorescent TCO Building Blocks

Non-fluorescent TCO building blocks provide reactive handles for introducing TCO functionality into custom molecules or for specialized applications such as calcium sensing. TCO-amine enables conjugation to carboxylic acid-containing molecules, while BAPTA TCO introduces a calcium-chelating moiety for sensor development.

This document (01.0323.251203r1) was last updated on Sat Feb 28 2026. All trademarks and registered trademarks mentioned herein are the property of their respective owners.