logo
Products
Services
Resources
Selection Guides
About
Intracellular pH Probes
Intracellular pH plays an important modulating role in many cellular events, including cell growth, calcium regulation, enzymatic activity, receptor-mediated signal transduction, ion transport, endocytosis, chemotaxis, cell adhesion, and other cellular processes. pH-sensitive fluorescent dyes have been widely applied to monitor changes in intracellular pH in recent years. Imaging techniques that use fluorescent pH indicators also allow researchers to investigate these processes with much greater spatial resolution and sampling density that can be achieved using other technologies such as microelectrode.
Fluorescent dyes provide the increased sensitivity required for optical pH measurements inside live cells. They also offer much greater spatial sampling capability when compared with microelectrode techniques. These advantages have spurred the development of improved fluorescent dyes that can sense pH changes within physiological ranges. To quantitatively measure pH, it is essential to match the indicator's pKa to the pH of the experimental system. Intracellular pH is generally between ~6.8 and 7.4 in the cytosol and ~4.5 and 6.0 in acidic organelles such as lysosomes. AAT Bioquest offers a variety of fluorescent pH indicators, pH indicator conjugates and other reagents for pH measurements in biological systems.
RatioWorks™ Ratiometric pH Indicators

RatioWorks™ pH probes are optimized for measuring intracellular pH accurately by the ratio of two emissions or two excitations. The ratiometric imaging makes intracellular pH determination essentially independent of several variable factors, including dye concentration, path length, cellular leakage and photobleaching rate. The ratiometric measurements have also been explored in flow cytometry.
BCFL AM, a superior replacement for BCECF AM

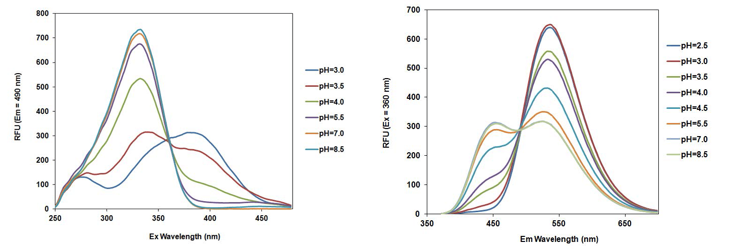
Among the ratiometric pH probes, 2',7'-bis-(2-carboxyethyl)-5-(and-6)-carboxyfluorescein (BCECF) is the most popular pH probe since it can be used to monitor cellular pH ratiometrically. However, all the commercial BCECF AM is a complex mixture of at least three isomers and the ratio is varied from vendor to vendor and even from lot to lot from the same vendor. BCFL AM is developed to overcome the isomer difficulty associated with BCECF AM. BCFL AM is a single species of modified fluorescein that has a pKa of ~7.0 with the same spectral response to pH changes as BCECF AM does. Our in-house studies demonstrated that BCFL AM yields much more reproducible results than BCECF AM that always contains different species. As BCECF AM, BCFL AM exhibits pH-dependent dual excitations, essentially identical to those of BCECF AM. It has a pKa of ~7.0, identical to BCECF AM too. As with BCECF AM, the dual excitation spectrum of BCFL AM with an isosbestic point at 454 nm should make BCFL AM a good excitation-ratiometric pH indicator.
Fig. 1
Fluorescence emission ratio of BCFL
The fluorescence emission (530 nm) ratio of BCFL for excitations at 488 nm and 440 nm was measured at pH 4.5, 6, 7, 9, 11, 12 and 13 using standard buffer solutions. The higher the pH, the higher the fluorescence signal with longer excitation wavelength (488 nm), and the lower the fluorescence signal with shorter excitation wavelength (440 nm).
Fig. 2
Structures of BCECF AM
Structures of BCECF AM (the mixture of three components)
PDMPO, an unique dual excitation and dual-emission ratiometric pH indicator

The existing pH probes are unsuitable to study acidic organelles such as lysosomes, endosomes, spermatozoa and acrosomes because their fluorescence is significantly reduced at lower pH. In addition, most of the existing pH probes (such as BCECF and SNARF™) are not selectively localized in acidic organelles. The growing potential of ratio imaging is significantly limited by the lack of appropriate fluorescent probes for acidic organelles although ratio imaging has received intensive attention in the past few decades. PDMPO [2-(4-pyridyl)-5-((4-(2-dimethylaminoethylaminocarba-moyl)methoxy)phenyl)oxazole] is characterized as an acidotropic dual-excitation and dual-emission pH probe. It emits intense yellow fluorescence at lower pH and gives intense blue fluorescence at higher pH. This unique pH-dependent fluorescence makes PDMPO an ideal pH probe for acidic organelles with pKa = 4.47. PDMPO selectively labels acidic organelles (such as lysosomes) of live cells and the two distinct emission peaks can be used to monitor the pH fluctuations of live cells in ratio measurements. Additionally, the very large Stokes shift and excellent photostability of PDMPO make it an excellent fluorescent acidotropic reagent for fluorescence imaging. The unique fluorescence properties of PDMPO might give researchers a new tool with which to study the acidic organelles of live cells. PDMPO can be well excited by the violet laser at 405 nm for flow cytometric applications.
Fig. 3
ph Titration of PDMPO;Excitation and emission of PDMPO pH titration
Left: pH titration of PDMPO. Right: Top curve = Excitation; Bottom Curve = Emission.
Protonex™ Dyes, pH Indicators for Acidic Organelles

Our Protonex™ dyes are developed to monitor acidic organelles and endocytosis. Unlike most of the existing fluorescent pH probes, Protonex™ dyes demonstrate the fluorescence that greatly increases as pH decreases.
Protonex™ Green, an unique pH probe for monitoring acidic Organelles

Protonex™ Green dye demonstrates pH-dependent fluorescence. Acidic conditions enhance the fluorescence of Protonex™ Green dye. The fluorescence of Protonex™ Green dye increases as pH decreases from neutral to acidic. Protonex™ Green dye provides a powerful tool to monitor acidic cell compartments such as endosomes and lysosomes. Protonex™ Green dye is non-fluorescent outside the cells, but fluoresces brightly green in acidic compartments (such as phagosomes, lysosomes and endosomes). It enables the specific detection of cellular acidic compartments with reduced signal variability and improved accuracy for imaging or flow applications. Protonex™ Green has the spectral properties similar to those of FITC, making the common filter set of FITC readily available to the assays of Protonex™ Green.
Fig. 4
Excitation and emission of Protonex™ Green; pH titration of Protonex™ Green
Left: Excitation and emission of Protonex™ Green at pH 4.0. Right: pH titration of Protonex™ Green (excited at 450 nm).
Protonex™ Red, an excellent pHrodo™ replacement

Protonex™ Red dye provides a powerful tool to monitor acidic cell compartments such as endosomes and lysosomes. Protonex™ Red dye is non-fluorescent outside the cells, but fluoresces brightly red in acidic compartments (such as phagosomes, lysosomes and endosomes). The fluorescence of Protonex™ Red dye dramatically increases as pH decreases from neutral to acidic. The lack of fluorescence outside the cell eliminates the wash steps. Protonex™ Red enables the specific detection of cellular acidic compartments with reduced signal variability and improved accuracy for imaging or flow cytometry applications. It can be also used for multiplexing cellular functional analysis with green fluorescent dyes such as GFP, Fluo-8®, calcein, or FITC-labeled antibodies. Protonex™ Red has the spectral properties similar to those of Texas Red®, making the common filter set of Texas Red® readily available to the assays of Protonex™ Red.
Cell Meter™ Fluorimetric Intracellular pH Assay Kit

Cell Meter™ Fluorimetric Intracellular pH Assay Kit uses AAT Bioquest's proprietary fluorescent indicator for measuring the relative intracellular pH changes. Either a standard procedure or an acid-load procedure is used for the fluorescent pH assay. The standard procedure is designed for measuring the therapeutic targets of interest with a decrease in intracellular pH upon treatment. The acid-load procedure is designed to measure the increase of intracellular pH associated with the changes in cellular metabolism due to GPCR activation or growth factor activity. In the acid-load procedure, ammonium chloride solution is added after the fluorescent pH dye is loaded into cells in a minimum volume. When agonist is added in a relatively large volume (~4X) of buffer, the sudden volume change produces an ammonia efflux (NH3) from the cells causing a rapid decrease in intracellular pH, thus a decrease in fluorescence signal.
Fig. 5
Carbachol dose response
Carbachol dose response in CHO-M1 cell. CHO-M1 cells were seeded overnight in 60,000 cells per 100 µL/well in a 96-well black wall/clear bottom Costar plate. The growth medium was replaced with 50 µL/well of BCFL AM dye-loading solution at 37°C for 1 hour, followed by 15 minutes incubation with 5 µL/well of 220 mM NH4Cl. Carbachol (200 µL/well) was added by FlexStation.

This document (03.0014.121001r1) was last updated on Fri Dec 19 2025. All trademarks and registered trademarks mentioned herein are the property of their respective owners.