logo
Products
Services
Resources
Selection Guides
About
A Highly Sensitive Direct ELISA of cAMP Without Acetylation
Cyclic AMP (cAMP) is one of the most studied secondary messengers in G protein-coupled receptor (GPCR) signaling pathways (the other being calcium). This is because cAMP can be used to characterize GPCR activity in response to agonists and antagonists. In pharmacology, this is especially important, as GPCRs are a common drug target.
Assays for quantification of cAMP have been proposed since the 1970s. The traditional method involves the use of an anti-cAMP primary antibody in a competitive ELISA format. In recent years, a new class of cAMP assay has been developed. These new assays rely on Förster resonance energy transfer (FRET) in addition to the anti-cAMP primary antibody in order to detect cAMP. While not necessarily more sensitive than the traditional ELISA method, new FRET-based techniques do allow for easier HTS/HCS of cAMP (such as during drug discovery) as these FRET-based assays do not require the labor intensive washing step.
Acetylation of cAMP

During the early development of ELISA-based cAMP detection, an interesting discovery was made. It was found that the anti-cAMP primary antibodies used in the assay actually had a higher affinity for acetylated cAMP than unmodified cAMP. The difference was rather stark. For the same antibody, acetylated cAMP had a dissociation constant of less than 10-10 M. For reference, unmodified cAMP has a dissociation constant of roughly 10-8 M. This represents a more than 100-fold difference in dissociation constants, and consequently, a significant increase in antibody binding affinity for acetylated cAMP over unmodified cAMP. Because of this, most modern ELISA-based cAMP assays will recommend acetylation of the sample cAMP before quantification, as it will result in a more sensitive experiment.
While acetylation does increase the sensitivity of cAMP detection, there are two major drawbacks to such methods. First, many biologically significant macromolecules besides cAMP can be acetylated. For instance, the lysine groups on many proteins are susceptible to acetylation, which can dramatically alter their function. Because many different biomolecules can be acetylated, the impact of acetylation on a given sample cannot be predicted. Second, the acetylation step increases experimental complexity. This not only allows for more experimental error, but deepens the knowledge gap between the assay developer and the end-user.
Fig. 1
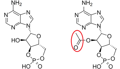
Unmodified cyclic AMP (left) compared to acetylated cyclic AMP (right).
Unmodified cyclic AMP (left) compared to acetylated cyclic AMP (right). Acetylation circled in red.
Here, we introduce a simpler direct ELISA of cAMP that does not require an acetylation step. Even without acetylation, our assay is more sensitive than current assays on the market. It demonstrates both a lower detection limit (0.1 nM) as well as a smaller IC50 (2.6 nM).
Direct ELISA of cAMP Principle

Aside from the lack of an acetylation step, our Screen Quest™ Colorimetric ELISA cAMP Assay Kit functions, in principle, as other direct competitive ELISAs on the market. Anti-cAMP primary antibodies are coated onto the surface a microplate well. Then a test sample is added; cAMP in the test sample will bind to the coated antibodies. Afterwards, cAMP-HRP is introduced, which will displace the bound cAMP due to the antibodies' higher affinity for cAMP-HRP over unmodified cAMP. Finally, a chromogenic reagent is added and oxidized by the bound cAMP-HRP, generating a signal proportional to the cAMP-HRP concentration and inversely proportional to the cAMP concentration.
Direct ELISA of cAMP Methods

  1. cAMP standards were prepared with the following concentrations: 10000, 100, 30, 10, 3, 1, 0.1, 0.03, 0.01, 0.003 and 0 nM.
  2. 75 µL of cAMP standards was added to respective wells of an anti-cAMP antibody coated 96-well plate.
  3. 96-well plate was incubated at room temperature for 10 minutes.
  4. 25 µL of cAMP-HRP conjugate was added to each well (both standards and test samples).
  5. 96-well plate was incubated at room temperature for 3 hours on a shaker.
  6. 96-well plate was aspirated and washed 4 times with 200 µL per well of wash solution.
  7. 100 µL of Amplite® Green solution was added to each well.
  8. 96-well plate was incubated at room temperature for 3 hours protected from light.
  9. Absorbance was read using a SpectraMax microplate reader at 405 nm, 650 nm and 740 nm.
Direct ELISA of cAMP Results

As seen from the results, our acetylation-free cAMP assay outperforms other assays that require acetylation of cAMP for high sensitivity. Our acetylation-free cAMP assay also outperforms other mechanistically-similar acetylation-free cAMP assay kits on the market, as seen by the 10-fold difference in IC50 value in the figure above. Compared to assay kits with different assay principles, such as FRET-based or luminescence, our cAMP kit matches or outperforms available assay kits on the market. The table and graphs below shows some of these comparisons using cAMP standards.
Fig. 2
cAMP assay kit from Abcam vs. Screen Quest™ Colorimetric ELISA cAMP Assay Kit
Sensitivity of cAMP assay as compared using cAMP standard curves. Left: cAMP Assay Kit from Abcam. Right: Screen Quest™ Colorimetric ELISA cAMP Assay Kit.
Fig. 3
cAMP Parameter Assay Kit vs. Screen Quest™ Colorimetric ELISA cAMP Assay Kit
Sensitivity of cAMP assay as compared using cAMP standard curves. Left: cAMP Parameter Assay Kit from R&D Systems. Right: Screen Quest™ Colorimetric ELISA cAMP Assay Kit.
Fig. 4
cAMP standard curve using Promega cAMP-Glo™ assay vs. PerkinElmer LANCE cAMP assay vs. CisBio GS Dynamic Kit
Left: cAMP standard curve using Promega cAMP-Glo™ assay with protein-kinase A coupled, ATP-dependent luminescence generation by luciferase. Center: cAMP standard curve using PerkinElmer LANCE cAMP assay with FRET-based absorbance detection. Right: cAMP standard curve with CisBio GS Dynamic Kit using HTRF® FRET-based detection.
Our Screen Quest™ Colorimetric ELISA cAMP Assay Kit also offers a distinct advantage over other assays on the market, namely, the ability to be detected at three different absorbances. Our cAMP assay kit can be read at either 405 nm, 650 nm or 750 nm. No other cAMP assay on the market offers the choice of detection wavelength. Our cAMP assay kit gives researchers the ability to choose the absorbance most suited for their experiment, without any subsequent loss in sensitivity (see figures below, IC50avg 3 nM). One application may be the selection of a longer wavelength at which to read absorbance (ie. 750 nm). This can help minimize interference from endogenous absorbance signals that typically occurs at <300 nm.
Fig. 5
cAMP standard curve using Screen Quest™ Colorimetric ELISA cAMP Assay Kit with absorbance reading at 750 nm vs. 650 nm..
Left: cAMP standard curve using Screen Quest™ Colorimetric ELISA cAMP Assay Kit with absorbance reading at 750 nm. Right: cAMP standard curve using Screen Quest™ Colorimetric ELISA cAMP Assay Kit with absorbance reading at 650 nm.
Conclusion

AAT Bioquest's Screen Quest™ Colorimetric ELISA cAMP Assay Kit outperforms assays which require acetylation of cAMP in order to achieve sensitive detection. This allows for a simpler and more controlled protocol. Our cAMP assay also matches or outperforms other detection technologies, such as luminescence and FRET, while offering the distinct advantage of being readable at three different absorbances (405 nm, 650 nm, 750 nm). Based on our comparative data, the Screen Quest™ Colorimetric ELISA cAMP Assay Kit is holistically the best tool for studying cAMP in applications such as drug discovery and GPCR screening.
Additional Resources

References

  1. Sutherland, Earl W., G. Alan Robison, and Reginald W. Butcher. "Some aspects of the biological role of adenosine 39, 59-monophosphate (cyclic AMP)." Circulation 37.2 (1968): 279-306.
  2. Gilman, Alfred G. "A protein binding assay for adenosine 3': 5'-cyclic monophosphate." Proceedings of the National Academy of Sciences 67.1 (1970): 305-312.
  3. Cailla, H. L., M. S. Racine-Weisbuch, and M. A. Delaage. "Adenosine 3', 5' cyclic monophosphate assay at 10—15 mole level." Analytical biochemistry56.2 (1973): 394-407.
  4. Cailla, Helene L., et al. "Comparison between rat and rabbit anticyclic AMP antibodies–specificity toward acyl derivatives of cyclic AMP." Analytical biochemistry 56.2 (1973): 383-393.
  5. Skomedal, T., et al. "A Radioimmunoassay for cyclic AMP (cAMP) Obtained by Acetylation of Both Unlabeled and Labeled (3H-cAMP) Ligand, or of Unlabeled Ligand only." Basic & Clinical Pharmacology & Toxicology 46.3 (1980): 200-204.
  6. Goldberg, Melvin L. "Radioimmunoassay for adenosine 3', 5'-cyclic monophosphate and guanosine 3', 5'-cyclic monophosphate in human blood, urine, and cerebrospinal fluid." Clinical chemistry 23.3 (1977): 576-580.

This document (03.0111.171001r1) was last updated on Wed Oct 29 2025. All trademarks and registered trademarks mentioned herein are the property of their respective owners.