logo
Products
Services
Resources
Selection Guides
About
Cal-630™ Calcium Indicators
X-Rhod-1 is commonly used as a red fluorescent calcium indicator. However, X-Rhod-1 is only moderately fluorescent in live cells upon esterase hydrolysis, and has very small cellular calcium responses. In addition, X-Rhod-1 is mostly localized in mitochondria, thus giving low signal/background ratio. Cal-630™ has been developed to improve X-Rhod-1 cell loading and calcium response while maintaining the similar spectral wavelengths of X-Rhod-1, making it compatible with Texas Red® filter set. In CHO and HEK cells, the cellular calcium response of Cal-630™ is much more sensitive than that of X-Rhod-1. The maximum emission wavelength of Cal-630™ is well separated from those of FITC, Alexa Fluor® 488 and GFP, making it an ideal calcium probe for multiplexing intracellular assays with GFP cell lines or FITC/Alexa Fluor® 488 labeled antibodies.
Fig. 1
emission spectra of Cal-520™ (Green), Cal-590™ (Orange) and Cal-630™ (Red)
Normalized emission spectra of Cal-520™ (Green), Cal-590™ (Orange) and Cal-630™ (Red).
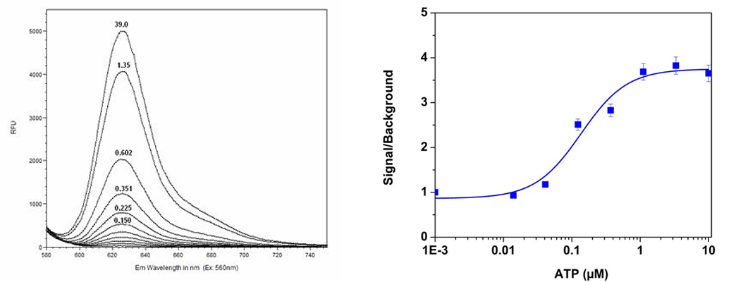
Fig. 2
Fluorescence emission spectra of Cal-630™;ATP-stimulated calcium response of endogenous P2Y receptor in CHO-K1 cells measured with Cal-630™ AM
Left: Fluorescence emission spectra of Cal-630™ in solutions containing 0 to 39 µM free Ca2+. Right: ATP-stimulated calcium response of endogenous P2Y receptor in CHO-K1 cells measured with Cal-630™ AM (Catalog Number 20530). CHO-K1 cells were seeded overnight at the cell density of 50,000 cells per 100 µL per well in a 96-well black wall/clear bottom plate. 100 µL of 10 µg/mL Cal-630™ AM with 2.0 mM probenecid was added into the cells, and the cells were incubated at 37 °C for 2 hours. ATP (50 µL/well) was added by FlexStation® (Molecular Devices) to achieve the final indicated concentrations.
Fig. 3
control;ATP
Responses of endogenous P2Y receptor to ATP in CHO-K1 cells. CHO-K1 cells were seeded overnight at 40,000 cells per 100 µL per well in a 96-well black wall/clear bottom plate. 100 µL of 4 µM Cal-630™ AM (Catalog Number 20530) in HHBS with 1 mM probenecid were added into the wells, and the cells were incubated at 37 °C for 2 hours. The dye loading mediums were replaced with 100 µL HHBS and 1 mM probenecid, then imaged with a fluorescence microscope (Olympus IX71) using TRITC channel before and after adding 50 µL of 300 µM ATP.

This document (03.0073.150501r1) was last updated on Mon Oct 13 2025. All trademarks and registered trademarks mentioned herein are the property of their respective owners.
Cal-630™ Calcium Indicators