logo
Products
Services
Resources
Selection Guides
About
Chloride Indicators
Cystic fibrosis transmembrane conductance regulator (CFTR) functions as a cAMP-activated ATP-gated anion channel, increasing the conductance for certain anions (e.g. Cl–) to flow down their electrochemical gradient. ATP-driven conformational changes in CFTR open and close a gate to allow transmembrane flow of anions down their electrochemical gradient. The measurement of intracellular chloride concentrations and the study of chloride channels have been stimulated by the discovery that cystic fibrosis is caused by mutations in a gene encoding CFTR. Chloride permeability assays are used to detect the activities of the CFTR and other anion transporters. Defects in chloride channel function underlie diseases such as cystic fibrosis and Bartter’s syndrome, making chloride flux and permeability assays valuable tools for studying channel dysfunction and evaluating therapeutic modulators.
AAT Bioquest offers a variety of reagents to quantify intracellular chloride ions as well as study chloride channel activity.
Fig. 1
Fig. 1
Cystic fibrosis transmembrane conductance regulator (CFTR) is a cAMP-regulated chloride channel that plays a central role in epithelial ion transport and fluid homeostasis. Alterations in CFTR or other chloride channels disrupt intracellular chloride gradients, making chloride flux and permeability assays essential tools for studying ion transport mechanisms and channel-targeted pharmacology.
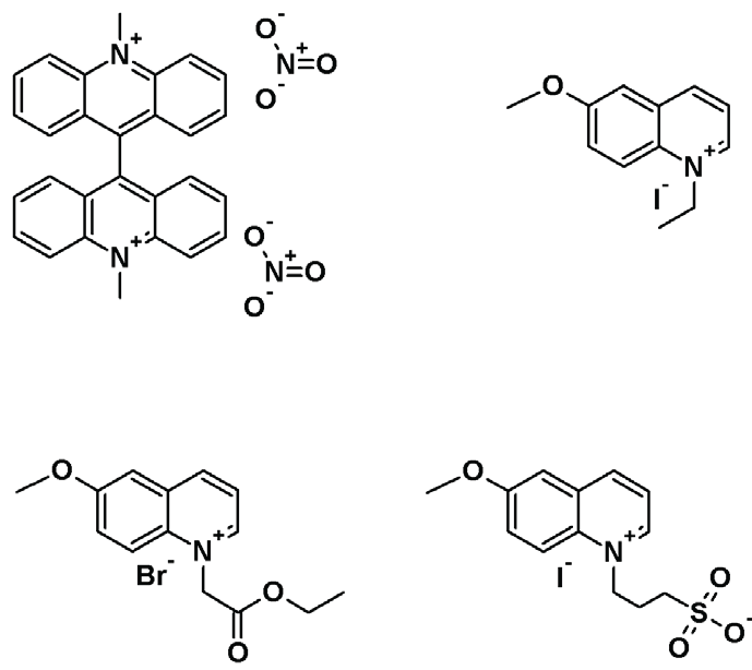
Quinolinium-Based Fluorescent Chloride Indicators

Most of the existing fluorescent chloride indicators are derived from quinolinium, including MEQ, MQAE and SPQ. All of these indicators detect chloride via diffusion-limited collisional quenching. This detection mechanism is different from that of fluorescent indicators for Ca²⁺ and Zn²⁺. It involves a transient interaction between the excited state of the fluorophore and a halide ion – no ground-state complex is formed. Quenching of quinolinium dyes by other halides, such as bromide and iodide, and other anions, such as thiocyanate, is more efficient than chloride quenching. Fortunately, physiological concentrations of non-chloride ions do not significantly affect the fluorescence of SPQ and other methoxyquinolinium-based chloride indicators.
Fig. 2
Chemical structures of Lucigenin, MEQ, MQAE, and SPQ.
The chemical structures of fluorescent chloride indicators: lucigenin (top left), MEQ (top right), MQAE (bottom left) and SPQ (bottom right).
Fluorescence of the quinolinium dyes is quite sensitive to solution viscosity and volume since the chloride-dependent fluorescence quenching is a diffusional process. The efficiency of collisional quenching is characterized by the Stern–Volmer constant (KSV) — the reciprocal of the ion concentration that produces 50% of maximum quenching. In these assays, SPQ- or MQAE-loaded cells are successively perfused with chloride-containing extracellular medium followed by medium in which the chloride content is replaced by nitrate.
SPQ is currently in widespread use for detecting CFTR activity using the chloride/nitrate exchange technique. SPQ has also been employed to investigate chloride fluxes through several other transporters such as the GABA receptor. MQAE has greater sensitivity to chloride and a higher fluorescence quantum yield than SPQ, and consequently MQAE is currently the more widely used of the two indicators. The ester group of MQAE may slowly hydrolyze inside cells, resulting in a change in its fluorescence response. MQAE has been used in a fluorescence microplate assay that has potential for screening compounds that modify chloride channel activity.
Iodide Blue™-Based Chloride Channel Assay

Chloride channels have a variety of important physiological and cellular functions that include regulation of pH, volume homeostasis, organic solute transport, cell migration, cell proliferation and differentiation. Chloride channels represent valuable drug targets. However, the existing technologies for screening chloride channel modulators are a compromise between throughput, sensitivity and physiological relevance. Screen Quest™ Chloride Channel Assay Kit provides an optimized assay method for monitoring chloride channels. The assay uses iodide as a surrogate permeant ion to report chloride channel activity, with Iodide Blue™ providing sensitive detection of iodide influx as an indirect functional readout of chloride channel opening. The assay can be performed in a convenient 96-well or 384-well microtiter-plate format and easily adapted to automation.
Fig. 3
NaI dose responses were measured with Screen Quest™ Colorimetric Chloride Channel Assay Kit.
NaI dose responses were measured with Screen Quest™ Colorimetric Chloride Channel Assay Kit in a 96-well black wall/clear bottom plate. As low as 100 nM of NaI was detected with 10 minutes incubation (n=3)

This document (01.0241.251203r1) was last updated on Sat Feb 28 2026. All trademarks and registered trademarks mentioned herein are the property of their respective owners.