logo
Products
Services
Resources
Selection Guides
About
Biotin Labeling Molecules and Their Biological Applications
Biotin Labeling Molecules and Their Biological Applications

The avidin/streptavidin-biotin interaction is the strongest known non-covalent biological interaction (Kd = 1015M-1 ) between a protein and its ligand. One avidin binds four biotins as shown in Figure 1. The bond formation between biotin and avidin/streptavidin is very rapid and, once formed, is unaffected by pH, organic solvents and other denaturing agents. Both avidin and streptavidin have essentially irreversible biotin-binding properties since bound biotin can only be released by denaturing the subunits of the proteins. The tight and specific binding of biotin and its derivatives to various avidins has been extensively explored for a number of biological applications.  
Fig. 1
Avidin with biotin
The complex of avidin with biotin.
Biotin, Biotin Derivatives, and Biotinylation Reagents

Biotin, a 244 dalton vitamin, binds with high affinity to both avidins and streptavidins as described above. Biotin and its derivatives can be conjugated to many biomolecules without significantly altering the biological activity of the target molecules since biotin is relatively a small molecule. A biopolymer (such as proteins) can react with several molecules of biotin that, in turn, can each bind one avidin. This characteristic greatly increases the sensitivity of many biological assays.
Fig. 2
Biotin
The chemical structuree of biotin.
Biotinylated compounds bind to avidin in that the biotin-binding site of avidin is 9 Å below the surface of the avidin molecule. Thus the affinity of avidin for biotin is decreased when short spacer arms are used in the biotinylated compounds due to steric hindrance. Optimal biotin binding capabilities can be obtained by using a biotin derivative that has an extended spacer arm, which reduces the steric hindrance effect. The spacer arm also improves the complex formation of biotin with the deep biotin-binding site of avidin. The reduction in steric hindrance results in an increase in sensitivity when detection is done with avidin or streptavidin. 6-Aminohexanoic acid (the so-called 'X' spacer in conjugation chemistry or 'LC' in peptide chemistry) is a popular spacer for biotin derivatives. Quite a few biotinylation reagents that contain the X spacer are shown in our catalog.
AAT Bioquest offers biotinylation reagents for targeting a variety of functional groups, including primary amines, thiols, carboxyls, carbonyls and carbohydrates. N-hydroxysuccinimidyl esters (SEs) of biotin, the most frequently used biotinylation reagents, react with primary amines. Generally, it is safe to assume that primary amines are available and accessible with proteins for biotinylation. The likelihood that primary amines are present increases as molecular weight increases. For example, BSA contains 59 primary amines and 30-35 of these amines are on the surface and can react with NHS-esters.  
Amine-Reactive Biotinylation Reagents

N-hydroxysuccinimidyl esters (SEs) of biotins are excellent reagents for biotinylating biomolecules such as proteins and amine-modified nucleic acids. In general, they are first dissolved in DMSO or DMF, then aliquoted into the aqueous reaction mixture. Because these compounds are prone to hydrolysis by water, it is recommended to prepare fresh stock solutions to achieve the best yield.
Fig. 3
Biotin
Amine-reactive Biotin
Biotin succinimidyl esters are proven to be the best reagents for biotin-based modifications of biomolecules such as proteins and nucleic acids because the amide bonds formed are essentially identical to, and as stable as the natural peptide bonds. These reagents are generally stable and show good reactivity and selectivity with aliphatic amines. There are a few factors that need to be considered when SE compounds are used for conjugation reaction:
  • Solvents: Hydrophobic biotins should be dissolved in anhydrous dimethylformamide (DMF) or dimethylsulfoxide (DMSO).
  • Reaction pH: The labeling reactions of amines with succinimidyl esters are strongly pH dependent. Amine-reactive reagents react with non-protonated aliphatic amine groups, including the terminal amines of proteins and the ε-amino groups of lysines. Thus amine acylation reactions are usually carried out at pH > 7.5. Protein modifications by succinimidyl esters can typically be done at pH 7.5-8.5, whereas isothiocyanates may require a pH 9.0-10.0 for optimal conjugations.
  • Reaction Buffers: Buffers that contain free amines such as Tris and glycine and thiol compounds must be avoided when using an amine-reactive reagent. Ammonium salts (such as ammonium sulfate and ammonium acetate) that are widely used for protein precipitation must also be removed before performing dye conjugations.
  • Reaction Temperature: Most conjugations are done at room temperature. However, either elevated or reduced temperature may be required for a particular labeling reaction.
Biocytin (Biotinoyl-L-Lysine)

Features and Biological Applications
Biocytin is invaluable as a rapidly transporting, sensitive neuronal tracer requiring little permeabilizing agents. It is an especially versatile marker for neuroanatomical investigations. Biocytin may be injected into brain by iontophoresis or by pressure injection methods, and localized in tissue sections using avidin-conjugated labels. It is taken up by neurons and rapidly transported down to axons in an anterograde fashion. Biocytin can also be used in retrograde tract tracing experiments, although in some cases it appears that fibers must be damaged to produce such labeling.
Fig. 4
Biocytin
Biocytin
References:
  1. Spiga, S., et al., Use of biocytin as neuroanatomic tracer in harvested human pancreas: A confocal laser scanning microscopy analysis. Pancreas 2002, 24, 329-35;
  2. McDonald, A.J., Neuroanatomical labeling with biocytin: A review. Neuroreport 1992, 3, 821-7.
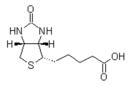
D-Biotin

Features and Biological Applications
Biotin, a 244 dalton vitamin, binds with high affinity to both avidins and streptavidins as described above. Biotin and its derivatives can be conjugated to many biomolecules without significantly altering the biological activity of the target molecules since biotin is relatively a small molecule. A biopolymer (such as proteins) can react with several molecules of biotin that, in turn, each can bind one avidin. This characteristic greatly increases the sensitivity of many biological assays. Biotin derivatives are widely used for biological detections and purification. Our biotin is highly purified and tested for avidinbinding.
Fig. 5
D-biotin
D-biotin
References:
  1. Humbert, N., et al., Electrophoretic behavior of streptavidin complexed to a biotinylated probe: A functional screening assay for biotin-binding proteins. Electrophoresis 2005, 26, 47-52.
  2. Yilmaz, F., et al., Detection of infectious laryngotracheitis virus in trigeminal ganglia by avidin-biotin complex method in chickens: Short communication. Acta Vet Hung 2004, 52, 167-71.
  3. Anderson, P.J. and P.E. Bock, Biotin derivatives of d-phe-pro-arg-ch2cl for active-site-specific labeling of thrombin and other serine proteinases. Anal Biochem 2001, 296, 254-61.
D-biotin, succinimidyl ester (D-biotin, SE)

Features and Biological Applications
Biotin succinimidyl ester is the most popular amine-reactive biotin derivative for modifying proteins and other biological molecules. This primary amine coupling reagent has been successfully used to selectively label Escherichia coli cell envelope proteins in vivo. It preferentially labels outer membrane, periplasmic, and inner membrane proteins as well as a specific inner membrane marker protein (Tet-LacZ).
Fig. 6
D-biotin, SE
D-biotin, succinimidyl ester
Biotin PEG2, succinimidyl ester

Features and Biological Applications
This amine-reactive biotin derivative contains a long arm to increase its avidin-binding affinity. It is widely used to label a variety of biological molecules and samples. Red cells are labeled with the spacered biotin, and the labeled cells are detected in small blood samples with flow cytometry. Improved labeling efficiency and binding affinity allow the easy detection of positive red cells.
Fig. 7
Biotin PEG2, succinimidyl ester
Biotin PEG2, succinimidyl ester
6-((Biotinoyl)amino)hexanoic acid, succinimidyl ester (Biotin-X, SE)

Features and Biological Applications
It has a spacer arm of ~22 Å that reduces steric hindrance when binding several biotinylated molecules to one avidin complex. This reagent penetrates cell membranes because there is no charged group.
Fig. 8
Biotin-X, SE
6-((Biotinoyl)amino)hexanoic acid, succinimidyl ester (Biotin-X, SE)
Thiol-Reactive Biotinylation Reagents

Although amines are the primary functional group for biotinylating proteins, there are potential risks associated with the modification of these amines which may make these macromolecules inactive. For example, a peptide ligand may contain a lysine that is intimately involved in binding to its receptor, and modification of this group may destroy its receptor-binding capability. In the case of antibodies, it can be advantageous to biotinylate in a manner that maintains immunological activity. The SEs of biotins react with primary amine groups and can interfere with antigen binding if the antigen-binding site is rich in lysine. While this does not usually present a serious problem with polyclonal antibodies, some monoclonal antibodies may experience loss of activities upon SE biotinylation. This problem can be avoided by using derivatives of biotin that react with thiols. When imununoglobulins are reduced under mild conditions, the disulfide bonds between the heavy chains are broken, and the disulfides between the heavy and the light chains are preserved.  
Fig. 9
Thiol-Reactive biotin
Thiol-reactive Biotin
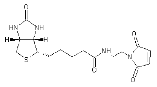
Biotin C2 maleimide

Features and Biological Applications
Biotin C2 maleimide readily reacts with thiol moieties of biopolymers to form thioether conjugate that is quite stable. This biotin maleimide requires mild conjugation conditions. For example, pH of 5.5–8.5 is usually optimal for modifying cysteine residues, and exposure of the reaction solution to air should be minimized whenever possible to avoid the air oxidation of thiol substrates. Most conjugations are done at room temperature. However, either elevated or reduced temperature may be required for a particular labeling reaction. Reactions with this biotinylation reagent should be performed in buffers free of extraneous thiols (such as 6-mercaptoethanol, dithiothreitol and mercaptoethylamine). Proteins or peptides to be biotinylated by thiol-reactive reagents must have a free thiol group (SH) available.
Fig. 10
Biotin C2 maleimide
Biotin C2 maleimide
Biotin PEG2 maleimide

Features and Biological Applications
This amine-reactive biotin derivative contains a long arm to increase its avidin-binding affinity. It is widely used to label a variety of biological molecules and samples. Red cells are labeled with the spacered biotin, and the labeled cells are detected in small blood samples with flow cytometry. Improved labeling efficiency and binding affinity allow the easy detection of positive red cells.
Fig. 11
Biotin PEG2 maleimide
Biotin PEG2 maleimide
Carbonyl-Reactive (Amino-Cotaining) Biotinylation Reagents

Oxidative pretreatment of glycoproteins is used to generate reactive aldehydes that couple the biotin hydrazides through the -NHNH2 group (forming a hydrazone linkage) or biotin hydroxylamines through the -ONH2 group (forming oxime linkage). For example, sialic acid residues on glycoproteins can be specifically oxidized with periodate under controlled conditions. At 1 mM NaIO4 and a temperature of 0°C, the reaction is restricted primarily to sialic acid residues. Sialic acid residues can also be biotinylated with hydrazide or hydroxylamine derivatives by pretreatment with neuraminidase to generate galactose groups. The galactose and N-acetylgalactosamine residues on whole cells can be selectively biotinylated with biotin hydrazides by further treatment with galactose oxidase. AAT Bioquest offers biotin hydroxylamine (such as ARP) for biotinylating nucleic acids.  
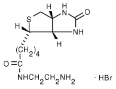
N-(2-Aminoethyl)biotinamide, hydrobromide (Biotin ethylenediamine)

Features and Biological Applications
Biotin ethylenediamine is widely used to label biomolecules that contain either carboxy, phosphonyl or carbonyl group. For example, it is used for biotinylation of nucleosides that have an aldehyde group.
Fig. 12
Biotin ethylenediamine
N-(2-Aminoethyl)biotinamide, hydrobromide (Biotin ethylenediamine)
References:
  1. Suarez, E., et al., Synthesis and characterization of a new biotinylated gramicidin. J Pept Sci 1998, 4, 371-7.
  2. Viscidi, R.P., et al., Novel chemical method for the preparation of nucleic acids for nonisotopic hybridization. J Clin Microbiol 1986, 23, 311-7.
N-(5-Aminopentyl)biotinamide (Biotin cadaverine)

Features and Biological Applications
This reagent is used for colorimetric assays for Factor XII carboxyls (when used with EDC) and cellular transglutaminase. It is also widely used for labeling peptides (carboxylic acid groups) and nucleotides (5´ phosphate groups) via use of EDC.
Fig. 13
Biotin cadaverine
N-(5-Aminopentyl)biotinamide (Biotin cadaverine)
References:
  1. Risley, M.S., et al., Gap junctions with varied permeability properties establish cell-type specific communication pathways in the rat seminiferous epithelium. Biol Reprod 2002, 67, 945-52;
  2. Kunioka, Y. and T. Ando, Innocuous labeling of the subfragment-2 region of skeletal muscle heavy meromyosin with a fluorescent polyacrylamide nanobead and visualization of individual heavy meromyosin molecules. J Biochem (Tokyo) 1996, 119, 1024-32.
Biotin PEG2 amine

Features and Biological Applications
This carbonyl-reactive biotin derivative contains a long arm (~20 angstrom) to increase its avidin-binding affinity. It is widely used to label a variety of biological molecules and samples. Red cells are labeled with this spacered biotin, and the labeled cells can be detected in small blood samples (5 μL) with flow cytometry. Improved labeling efficiency and binding affinity allow an easy detection of positive red cells.
Fig. 14
Biotin PEG2 amine
Biotin PEG2 amine
References:
  1. Dong D, et al. (2004). Quantitative photoelectrochemical detection of biological affinity reaction: biotinavidin interaction. Anal Chem 76, 499-501.
  2. Bronfman, F. C., et al. Ligand-induced internalization of the p75 neurotrophin receptor: A slow route to the signaling endosome. J. Neurosci. 203, 23, 3209-20.
Biocytin hydrazide

Features and Biological Applications
Water-soluble biocytin hydrazide is used for the selective non-radioactive detection of glycoconjugates. The method involves either chemical (periodate-induced) or enzymatic (via galactose oxidase) oxidation of glycoconjugates, the resultant aldehyde groups are then labeled with biocytin hydrazide, followed by interaction with an avidin-based enzyme probe.
Fig. 15
Biocytin hydrazide
Biocytin hydrazide
References:
  1. Bayer, E.A., et al., Biocytin hydrazide--a selective label for sialic acids, galactose, and other sugars in glycoconjugates using avidin-biotin technology. Anal Biochem 1988, 170, 271-81.
  2. Roffman, E., et al., Selective labeling of functional groups on membrane proteins or glycoproteins using reactive biotin derivatives and 125i-streptavidin. Biochem Biophys Res Commun 1986, 136, 80-5.
Bifunctional Biotin Derivatives

Besides the above-described monofunctional biotin derivatives that are used for biological detections and purifications, AAT Bioquest also offers bifunctional biotin derivatives described below. These special biotinylation reagents have unique properties that are explored for a variety of novel biological applications.  
Biotin-4-fluorescein

Features and Biological Applications
Besides the above-described monofunctional biotin derivatives that are used for biological detections and purifications, AAT Bioquest also offers bifunctional biotin derivatives described below. These special biotinylation reagents have unique properties that are explored for a variety of novel biological applications.
Fig. 16
Biotin-4-fluorescein
Biotin-4-fluorescein
Compred to biotin, this fluorescenceinated biotin derivative has similar avidin-binding properties in terms of high affinity, fast association, and non-cooperative binding. These exceptional properties are attributed to the small size/length of the new ligand since all larger/longer biotin derivatives are known for their mutual steric hindrance and anti-cooperative binding in 4:1 complexes with avidin and streptavidin tetramers. Specific binding of this biotinfluorescein conjugate towards avidin and streptavidin is accompanied by 84-88% quenching of ligand fluorescence.  
References:
  1. Aslan, F.M., et al., Engineered single-chain dimeric streptavidins with an unexpected strong preference for biotin-4-fluorescein. Proc Natl Acad Sci U S A 2005, 102, 8507-12;
  2. Kada, G., et al., Accurate measurement of avidin and streptavidin in crude biofluids with a new, optimized biotin-fluorescein conjugate. Biochim Biophys Acta 1999, 1427, 33-43.
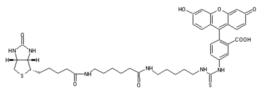
Biotin-X-nitrilotriacetic acid, tripotassium salt (Biotin-X NTA)

Features and Biological Applications
Biotin-X NTA is a bifunctional reagent for the detection of histidine-tagged proteins. The nitrilotriacetic acid is used to chelate a Ni(II) ion at four of its six coordination sites. The remaining two sites are available for binding to a histidine tag. The biotin functional group can then be detected using a streptavidin-horseradish peroxidase conjugate and chemiluminescence. With this biotinylated nitrilotriacetic acid, it is possible to detect less than 0.11 pmol of histidine-tagged Escherichia coli RNA polymerase sigma70 subunit. This reagent is also able to specifically detect His-tagged sigma70 from a whole cell lysate following SDS-PAGE and transfer to nitrocellulose.  
References:
McMahan, S.A. and R.R. Burgess, Single-step synthesis and characterization of biotinylated nitrilotriacetic acid, a unique reagent for the detection of histidine-tagged proteins immobilized on nitrocellulose. Anal Biochem 1996, 236, 101-6.  
Fluorescein biotin

Features and Biological Applications
This bifuctional biotin derivative is used for spectrophotometric determination of biotinylation degree. The assay is based on the kinetic analysis of the enhancement of fluorescence of streptavidin/fluorescein biotin complexes in the presence of biotin. The fluorescence enhancement of fluorescein biotin is proportional to the concentration of biotin. Because the assay is amenable for use in small volumes of 5-50 μL or bead-based assays, the detection limits can be extended to the femtomole range. The dynamic aspects allow the assay to be used for a broader range of applications including its use as an indicator for laminar-flow assays carried out in microfluidic devices.
Fig. 17
Fluorescein biotin
Fluorescein biotin
References

  1. Dong D, et al. (2004). Quantitative photoelectrochemical detection of biological affinity reaction: biotinavidin interaction. Anal Chem 76, 499-501.
  2. Freedman LJ and Maddox MT (2001). A comparison of anti-biotin and biotinylated anti-avidin doublebridge and biotinylated tyramide immunohistochemical amplification. J Neurosci Methods 112, 43-9.
  3. Hofstetter H, et al. (2000). A labeling, detection, and purification system based on 4-hydroxyazobenzene-2- carboxylic acid: an extension of the avidin-biotin system. Anal Biochem 284, 354-66.
  4. Santora KE, et al. (2000). Avidin- or streptavidin-biotin as a highly sensitive method to stain total protein on membranes. Mol Biotechnol 15, 161-5.
  5. Tomita M (2000). Application of specific and strong biotin-avidin binding for cell technology. Tanpakushitsu Kakusan Koso 45, 600-6.
  6. Gonzalez M, et al. (1999). Extremely high thermal stability of streptavidin and avidin upon biotin binding. Biomol Eng 16, 67-72.
  7. Bratthauer GL (1999). The avidin-biotin complex (ABC) method and other avidin-biotin binding methods. Methods Mol Biol 115, 203-14.
  8. Sakahara H and Saga T (1999). Avidin-biotin system for delivery of diagnostic agents. Adv Drug Deliv Rev 37, 89-101.
  9. Dunn MJ (1994). Detection of proteins on blots using the avidin-biotin system. Methods Mol Biol 32, 227- 32.
  10. Diamandis EP and Christopoulos TK (1991). The biotin-(strept)avidin system: principles and applications in biotechnology. Clin Chem 37, 625-36.
  11. Bayer EA and Wilchek M (1990). Application of avidin-biotin technology to affinity-based separations. J Chromatogr 510, 3-11.
  12. Bayer EA and Wilchek M (1990). Biotin-binding proteins: overview and prospects. Methods Enzymol 184, 49-51.
  13. Wilchek M and Bayer EA (1990). Introduction to avidin-biotin technology. Methods Enzymol 184, 5-13.
  14. Wilchek M and Bayer EA (1990). Avidin-biotin mediated immunoassays: overview. Methods Enzymol 184, 467-9.

This document (02.0010.120723r1) was last updated on Thu Oct 23 2025. All trademarks and registered trademarks mentioned herein are the property of their respective owners.