logo
Products
Technologies
Applications
Services
Resources
Selection Guides
About
A Simple End-Point Calcium Assay Using a Green Fluorescent Indicator Fluo-8E™, AM
Analysis of GPCR Modulators Induced Intracellular Calcium Signaling Using a Conventional Fluorescent Microplate Reader
Muhua Yang1*, Qian Zhao1, Ruogu Peng1, Jinfang Liao1, Zhenjun Diwu1,2
  1. AAT Bioquest, Inc., 520 Mercury Drive, Sunnyvale, CA 94085
  2. School of Environmental and Municipal Engineering, Xi'an University of Architecture and Technology, No. 13 Yanta Road, Xi'an, Shanxi Province, 710055, P. R. China
    *Corresponding author: Muhua Yang
Abstract
The intracellular release of calcium from internal stores upon GPCR stimulation is transient. To study this transient calcium signaling in a microplate format, a fluorescence plate reader that has a built-in liquid handling system and kinetic reading capability is often required. This limits the usage of the conventional fluorescence plate readers to conduct studies on calcium signaling. We report the development of an endpoint calcium assay that can be used to monitor the effects of GPCR modulators in calcium response cell-based assays with conventional fluorescence microplate readers using bottom reading mode. Fluo-8E™ AM, a cell permeant, non-fluorescent calcium indicator that has enhanced and long-lived fluorescence upon calcium binding was used in this assay. We demonstrated the capability of this assay to accurately determine the EC50 of numbers of GPCR modulators. The results are comparable to the results from assays utilizing the widely used fluorescent calcium indicators Fluo-4 AM and Fluo-3 AM in kinetic assays.
Introduction

Calcium is a ubiquitous secondary messenger that controls a spectrum of cellular processes. Cells generate their calcium signals by utilizing both internal and external sources of calcium. The internal storage of calcium is located within the membrane of the endoplasmic reticulum (ER) and sarcoplasmic reticulum (SR). When stimuli bind to cell surface receptors (e.g. GPCR), calcium is released from the internal stores through various channels including InsP3R and members from the ryanodine receptors (RYRs) family [1][2]. The intracellular calcium concentration rises from 100 nM to roughly 1 µM as a result. After the calcium-induced signaling is completed, calcium is removed from the cytoplasm to restore the resting state [3].
Fig. 1
Fluo-8E™ AM Assay Principle
Fluo-8E™ AM Assay Principle.Fluorescent calcium indicator Fluo-8E™ AM can cross cell membrane passively by diffusion. Once inside the cells, the lipophilic blocking groups of Fluo-8E™ AM are cleaved by esterase, resulting in a negatively charged fluorescent dye that stays inside cells. Its fluorescence is enhanced by >100 times upon binding to calcium.
Fluorescent calcium indicators have been widely used to monitor the calcium motility in in vitro, in vivo and ex vivo applications. The introduction of the first generation calcium fluorescent indicators (Indo-1, Fura-2, Fluo-3 and Rhod-2) in the 1980s made measuring calcium signaling using fluorescent instruments possible [4][5]. The second generation calcium indicator Fluo-4 has a much improved S/B ratio and is popularly used in high throughput screening, confocal imaging and flow cytometry [6]. However, in order to monitor the transient calcium flux inside cells using these calcium indicators in microplates, one has to use a fluorescence plate reader (e.g. FlexStation, FLIPR, FDSS) that has a built-in liquid handling system for adding the desired agonists/antagonists, and also the ability to read the signal changes in kinetic mode. This limits researchers who desire to use conventional fluorescence microplate readers to study the effects of GPCR modulators in calcium signaling.
We have developed an endpoint calcium assay allowing the use of conventional fluorescence microplate readers to accurately determine the EC50 of GPCR modulators. Fluo-8E™ AM is a fluorescent calcium indicator that has the same spectral properties as Fluo-3 AM and Fluo-4 AM (Ex/Em = 485 nm/525 nm). Fluo-8E™ AM can cross cell membrane passively by diffusion. Once inside the cells, the lipophilic blocking groups of Fluo-8E™ AM are cleaved by intracellular esterase, resulting in a negatively charged fluorescent dye that stays inside cells. Its fluorescence is enhanced by >100 times upon binding to calcium and is sustained for 1-2 minutes with insignificant signal decrease (Figure 1). The Fluo-8E™ AM assay does not require the addition of any organic anion transporter inhibitors to prevent dye leakage from cells. It also does not need any wash steps to lower background signal and achieve high S/B ratio. These characteristics make Fluo-8E™ AM ideal for the measurement of cellular calcium response using conventional fluorescence microplate readers that do not have a built-in liquid handling system or kinetic reading capability. One can simply add the agonist/antagonist via an external liquid handler or a handheld pipettor, and detect the changes in fluorescence with a bottom read conventional fluorescence microplate reader.
In this technical report, we determined the EC50 of modulators of different GPCRs using the endpoint Fluo-8E™ AM assay via a conventional fluorescent microplate reader in a 96-well plate and 384-well plate format. The sensitivity and accuracy of the results using the endpoint Fluo-8E™ AM assay is comparable to the results from using the popular Fluo-3 AM and Fluo-4 AM kinetic assays.
Materials and Methods

Cell Culture
Cell lines were purchased from ATCC (Manassas, VA). CHO-K1 cells were maintained in F-12K medium with 10% FBS and 1% Penicillin-Streptomycin-Glutamine (Thermo Fisher, Waltham, MA). CHO-M1 cells were CHO-K1 cells stably transfected with rat M1 muscarinic acetylcholine receptor. CHO-M1 cells were maintained in F-12K medium with 10% FBS, 1% Penicillin-Streptomycin-Glutamine and 250 µg/mL G-418 (Thermo Fisher, Waltham, MA). HEK-293 cells were maintained in DMEM with 10% FBS and 1% Penicillin-Streptomycin-glutamine (Thermo Fisher, Waltham, MA).
Reagent Preparation
10 µg/mL Fluo-8E™ AM (AAT Bioquest Sunnyvale, CA) was diluted in 1X assay buffer. 10 µg/mL Fluo-3 AM and Fluo-4 AM (AAT Bioquest, Sunnyvale, CA) were prepared in HHBS (AAT Bioquest, Sunnyvale, CA) containing 0.04% Pluronic F127 (AAT Bioquest, Sunnyvale, CA) with or without 5 mM probenecid (AAT Bioquest, Sunnyvale, CA). ATP and carbachol titrations (Sigma, St Louis, MO) were prepared in Hanks and 20 mM Hepes buffer (HHBS).
Calcium Kinetic and Endpoint Assays
Cells were plated in 100 µL/25 µL culture medium in 96-well/384-wellclear bottom black plates (Greiner Bio-One, Kremsmunster, Austria) at 50,000/12,500 cells per well. The next day, equal volume of prepared dye-loading solutions that contain calcium indicators were added to each well. The cells were incubated with the dye-loading buffer for 60 min at 37 °C, 5% CO2 incubator. When cells were incubated with the Fluo-8E™ AM, probenecid was not needed and the cells were not washed following the incubation. On the other hand, probenecid and wash steps were required when using Fluo-3 AM and Fluo-4 AM to prevent the leakage of the indicators and to lower the background signal. The calcium kinetic assays were performed on FlexStation® (Molecular Devices, Sunnyvale, CA) using the built-in liquid handler to add the calcium flux stimulants and the kinetic reading mode to capture the changes in fluorescence signal over time. The endpoint assays were conducted by adding the stimulants with handheld multichannel pipettors immediately followed by the detection of the fluorescence using bottom read mode on ClarioStar® fluorescence microplate reader (BMG Labtech, Cary, NC).
Data Analysis
The kinetic calcium assay data were simultaneously collected by SoftMax®Pro (Molecular Devices, Sunnyvale, CA). The dose dependent calcium response data were analyzed on Origin (OriginLab Corporation, Northampton, MA). The dose response curve is generated and defined by the four parameters: the baseline response (Bottom), the maximum response (Top), the slope (Hill slope), and the drug concentration that provokes a response halfway between baseline and maximum (EC50). Error bars were calculated using standard error of the mean (S.E.M.). The statistical significance (p<0.05) was calculated using student's t-test from triplicates wells in three independent experiments. The Z factor (1> Z > 0.5) calculation was used for data quality assessment of assay conditions (10).
Results and Discussions

ATP and Carbachol Induced Calcium Response in CHO-K1 and CHO-M1 Cells using Fluo-8E™ AM
In order to capture the fluorescent signal induced by the transient calcium movement inside the cells upon stimulation without using the kinetic reading mode, a calcium assay that has a long-lived signal is needed. We measured the calcium kinetic signal of ATP stimulated endogenous P2Y receptors in CHO-K1 cells and carbachol stimulated rat M1 muscarinic acetylcholine receptors in CHO-M1 cells using Fluo-8E™ AM, and observed a long-lived signal upon stimulation.
Fig. 2
measurement of calcium response upon ATP and carbachol stimulation
The measurement of calcium response upon ATP and carbachol stimulation in CHO-K1 and CHO-M1 cells, respectively.CHO-K1 (A) or CHO-M1 (B) cells were incubated with 5 µg/mL of Fluo-3 AM, Fluo-4 AM or Fluo-8E™ AM for 60 min at 37°C. The cellular signal was monitored before and after the addition of ATP (A) or carbachol (B) by FlexStation® using kinetic reading mode for 120 seconds. Data shown are mean ± SEM of triplicate wells and are representative of three independent experiments. Black square indicates Fluo-3 AM incubated cells, red circle indicates Fluo-4 AM incubated cells and blue triangle indicates Fluo-8E™ AM incubated cells.
In order to observe the signal of calcium flux in CHO-K1 and CHO-M1 cells, 10 µM ATP or 1 µM of carbachol, respectively, were added using FlexStation® built-in liquid handler and the calcium flux was monitored for 120 seconds. The S/Bmax was calculated by dividing the peak signal after ATP or carbachol addition and the basal signal before ATP or carbachol addition. In ATP stimulation assay, The Fluo-8E™ AM produced similar high S/Bmax ratio (4 fold) as Fluo-4 AM (4 fold), and much higher overall signal and S/Bmax ratio than Fluo-3 AM (2 fold) (Figure 2A). More interestingly, the Fluo-8E™ AM showed much slower signal decay (Figure 2A) than Fluo-3 AM and Fluo-4 AM. The signal reduction after ATP addition at 30, 60 and 90 seconds was compared between the three dye-loading methods. When using the Fluo-8E™ AM, the signal reduced only 10% after 30 seconds, 13.6% after 60 seconds and 16.9% after 90 seconds, which is twice slower compare to that using Fluo-3 AM and Fluo-4 AM. Fluo-3 AM and Fluo- 4 AM reduced 28.4% and 27.3% after 30 seconds, 35.2% and 34.5% after 60 seconds and 37.6% and 38.5% after 90 seconds, respectively.
In carbachol stimulation assay, the signal generated by using Fluo-8E™ AM showed the slowest signal decrease after the addition of carbachol among the three dye-loading methods (Figure 2B). When using the Fluo-8E™ AM, the signal reduced only 9% after 30 seconds, 9.2% after 60 seconds and 10.6% after 90 seconds, which is more than 2 times slower than that using Fluo-3 AM and Fluo-4 AM. Fluo-3 AM and Fluo-4 AM reduced 25% and 22.5% after 30 seconds, 25.7% and 26.4% after 60 seconds and 27.7% and 30.4% after 90 seconds, respectively. These observations are consistent with the results obtained from ATP stimulation assays in CHO-K1 cells and indicate the potential application of Fluo-8E™ AM to capture calcium movement in measuring GPCR activity like endogenous P2Y receptors and exogenous M1 receptors using endpoint reading mode.
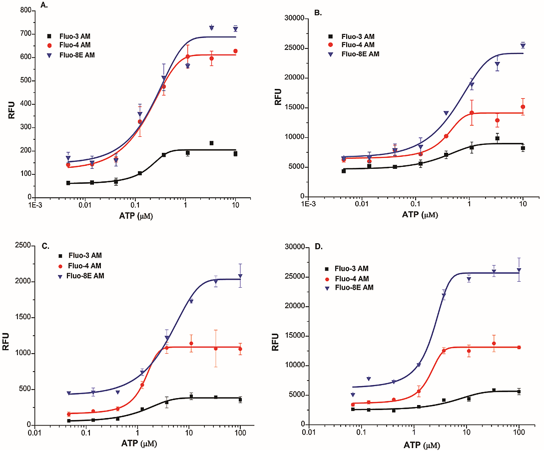
The ATP Dose Dependent Induction of Calcium Flux in CHO-K1 and HEK 293 Cells Using Kinetic and Endpoint Assays
We evaluated the S/B ratio and EC50 of ATP in CHO-K1 and HEK 293 cells using Fluo-8E™ AM in both kinetic and endpoint assays. The S/Bmax ratio was calculated using the signals from the CHO-K1 cells and HEK 293 cells added with the highest concentration of ATP and the cells with no ATP addition. EC50 of ATP was determined by plotting the signal changes at different concentrations of ATP in CHO-K1 cells and HEK 293 cells.
Fig. 3
ATP dose dependent calcium flux
The ATP dose dependent calcium flux in CHO-K1 and HEK 293 cells.CHO-K1 cells or HEK 293 cells were incubated with 5 µg/mL of Fluo-3 AM, Fluo-4 AM or Fluo-8E AM for 60 min at 37°C. Upon addition of different concentrations of ATP, the cellular signal was monitored by FlexStation® using kinetic reading mode (A: CHO-K1, C: HEK 293) for 120 seconds or by ClarioStar® using endpoint reading mode (B: CHO-K1, D: HEK 293). Data shown are mean ± SEM of triplicate wells and are representative of three independent experiments. Black square indicates Fluo-3 AM incubated cells, red circle indicates Fluo-4 AM incubated cells and blue triangle indicates Fluo-8E™ AM incubated cells.
In CHO-K1 cells with kinetic assay, the Fluo-8E™ AM showed similar S/B ratio (4.4 fold) as Fluo-4 AM (4.3 fold), and much higher overall signal and S/B ratio than that of Fluo-3 AM (2 fold). The similar EC50 (~ 0.2 µM, Table 1) was observed in all three assays with different dye-loading methods (Figure 3A), and the EC50 is in line with previously published values [7]. However, with endpoint reading mode, the S/B ratio is significantly decreased in the assays using Fluo-3 AM (1.5 fold, p<0.05) and Fluo-4 AM (2.4 fold, p<0.05), when compared to kinetic assay. On the other hand, S/B ratio only slightly deceased in the assay using Fluo-8E™ AM (3.9 fold). This can be explained by the faster signal decay in Fluo-3 AM and Fluo-4 AM assays than that of Fluo-8E™ AM assay upon ATP stimulation (Figure 2A). The EC50 of ATP in endpoint assays was slightly higher than kinetic assays in all three methods (Figure 3B, Table 1).
In HEK 293 cells with kinetic assay, the Fluo-8E™ AM showed similar S/B ratio (4.5 fold) as Fluo-4 AM (5.4 fold) and Fluo-3 AM (5.8 fold). The similar EC50 (Table 2) was observed in all three assays with different dye-loading methods (Figure 3C), and the EC50 is in line with previously published values [7]. When using endpoint reading mode, however, the S/B ratio is significantly decreased in the assays using Fluo-3 AM (2.1 fold, p<0.05) and Fluo-4 AM (3.8 fold, p<0.05), when compared to kinetic assay. On the other hand, S/B ratio only slightly deceased in the assay using Fluo-8E™ AM (5 fold). The EC50 of ATP in endpoint assays was comparable to kinetic assays in Fluo-8E™ AM and Fluo-4 AM assays (Figure 3D, Table 2).
This demonstrates that Fluo-8E™ AM produced similar results as Fluo-4 AM and Fluo-3 AM in kinetic reading, and is more suitable than Fluo-3 AM and Fluo-4 AM assay to conduct the calcium mobility assay using endpoint reading mode with insignificant signal and EC50 changes.
The Atropine Dose Dependent Inhibition of Calcium Flux in CHO-M1 Cell Using Kinetic and Endpoint Assays
To test the Fluo-8E™ AM in an antagonist assay, the dose dependent inhibition of atropine in muscarinic M1 receptor induced calcium response was performed in CHO-M1 cells. The dye loading was performed using Fluo-8E™ AM, Fluo-3 AM or Fluo-4 AM. Different concentrations of atropine were incubated with the cells for additional 15 min. The calcium response in CHO-M1 cells was captured either by kinetic assay before and after the addition of 1 µM carbachol using FlexStation®, or by endpoint reading after the addition of 1µM carbachol using ClarioStar®. When using the Fluo-8E™ AM to measure the S/B and the EC50 of atropine using kinetic and endpoint assays, the S/B ratios are 3.5 fold and 3.14 fold respectively, and the calculated EC50 of atropine are 1.2 ± 0.2 nM and 0.8 ± 0.09 nM, respectively (Figure 5A and B, Table 4). Although the EC50 did not show significant changes between kinetic reading mode and endpoint reading mode in Fluo-3 AM and Fluo-4 AM incubated cells , Fluo-3 AM showed weak signal and low S/B, and the S/B ratio decreased significantly in Fluo-4 AM assay (Figure 5A and B, Table 4, p<0.05). The results showed that the Fluo-8E™ AM is capable to determine the calcium response and EC50 of antagonist in CHO-M1 cells using fluorescence microplate readers in endpoint reading mode.
Fig. 4
atropine dose dependent inhibition of calcium flux
The atropine dose dependent inhibition of calcium flux in CHO-M1 cells.CHO-M1 cells were incubated with 5 µg/mL of Fluo-3 AM, Fluo-4 AM or Fluo-8E™ AM for 60 min at 37°C. Different concentration of Atropine was added to the cells and incubated for additional 15 min. The cellular signal was monitored before and after the addition of carbachol by FlexStation® using kinetic reading mode (A) for 120 seconds or by ClarioStar® using endpoint reading mode (B). Data shown are mean ± SEM of triplicate wells and are representative of three independent experiments. Black square indicates Fluo-3 AM incubated cells, red circle indicates Fluo-4 AM incubated cells and blue triangle indicates Fluo-8E™ AM incubated cells.
The Probenecid Free Calcium Assay in CHO-K1 Cells Using Fluo-8E™ AM
Cell types like CHO and HeLa have high organic anion transporters activity, fluorescent calcium indicators are poorly retained in those cell lines without the presence of the organic anion transporter inhibitor such as probenecid [7]. In standard calcium assay protocols using Fluo-3 AM or Fluo-4 AM, probenecid is required in the assay to achieve the optimal cellular retention.
Fig. 5
ATP dose dependent calcium flux
The ATP dose dependent calcium flux in CHO-K1 cells in a probenecid free assay. . CHO-K1 cells were incubated with 5 µg/mL of Fluo-3 AM, Fluo-4 AM without probenecid or Fluo-8E™ AM for 60 min at 37°C. The cellular signal was monitored by FlexStation® before and after the addition of different concentrations of ATP using kinetic reading mode for 120 seconds. Data shown are mean ± SEM of triplicate wells and are representative of three independent experiments. Black square indicates Fluo-3 AM incubated cells, red circle indicates Fluo-4 AM incubated cells and blue triangle indicates Fluo-8E™ AM incubated cells.
The organic anion transporter inhibitors are toxic to cells and some of them are known to be the inhibitors of certain GPCRs (e.g. chemokine receptors, bitter taste receptors) [8][9]. Fluo-8E™ AM has good cell retention and keeps the dye inside the cells without using probenecid. To assess the performance in calcium assays without probenecid, CHO-K1 cells were incubated with Fluo-3 AM, Fluo-4 AM and Fluo-8E™ AM dye-loading solutions without probenecid. 10 µM of ATP was transferred using FlexStation and kinetic read was used. The data showed that without probenecid, Fluo-3 AM and Fluo-4 AM showed poor response upon ATP stimulation, however, Fluo-8E™ AM still had good calcium response with S/B = 4 and EC50 of ATP at 0.2 ± 0.034 µM (Figure 6). Using the endpoint reading mode with ClarioStar® fluorescence microplate reader, similar results were observed (data not shown).
Z Factor Determination in 96-well Plate and Assay Miniaturization
The Z factor was determined in 96-well and 384-well plate format. In a 96-well plate assay, the layout of the plate and the summary of the Z factor were summarized in Table 5 and Table 6. The Z factor was calculated by using the formulation [10]:
Fig. 6
equation
SDmax is standard deviation of maximal signal controls. SDmin is standard deviation of minimal signal controls. AVGmax is the mean value of maximal signal controls. AVGmin is the mean value of minimal signal controls.

Document: 03.0129.191001r1
Last updated Fri Oct 03 2025