logo
Products
Technologies
Applications
Services
Resources
Selection Guides
About
Dextran Conjugates
Dextran conjugates, or dextrans, are hydrophilic polysaccharides that can be used as long-term tracers for in vivo and in vitro applications in tissue sections, neurons, and cultured cells. Dextrans are suitable for direct fluorescence imaging, like in flow cytometry or fluorescent microscopy, as they maintain low toxicity, and are relatively inert. A wide range of dextrans are offered in a range of molecular weights (MW), and many dextran variations are lysine-fixable or can be pre-treated with formaldehyde or glutaraldehyde. Dextrans are highly sensitive, and concentrations as little as 1 ng/ml can be easily detected in tissue fluids.
Fig. 1
Fluorescence image of live Raw 264.7 cells
Fluorescence image of live Raw 264.7 cells stained with Cal-520®-Dextran Conjugate MW 10,000 (Green) to visualize lysosomal Ca2+ , LysoBrite™ Red (Red) to label lysosomes and Nuclear Violet™ LCS1 (Blue) for nuclei.
Properties

Dextrans have been synthesized from sucrose of the bacteria Leuconostoc, Lactobacillus, and Streptococcus. Their α-1,6-poly-glucose linkages are resistant to cleavage by most endogenous cellular glycosidases, making them effective water-soluble carriers for dyes, indicators, and reactive groups. Dextrans are generally soluble in aqueous buffers over 10 mg/mL, though solubility decreases as the MW increases. Dextrans with hydrophobic functional groups, like rhodamine or biotin, may be more soluble in slightly alkaline buffers. Some experimental techniques like vortexing, sonicating or briefly heating the solution may also increase solubility. Insoluble particles formed during dissolution should be removed by brief centrifugation (to pellet unwanted items) or by filtration. A rough guide for the solubility of a dextran conjugate, given its MW, is given in the table below.
Unlabeled dextrans are often polydisperse, and may become more so upon the chemical processing required for subsequent protein modification and purification. This means that dextrans may have a range of nonuniform particle sizes, so it is important to be mindful that actual MWs present in a particular sample may have a broad distribution. In application, the degree of labeling dextrans should be optimized to provide the brightest conjugate without producing quenching effects or undesired interactions with cellular components that can occur with excessive labeling. The net charge on a dextran depends on two factors; the charge of the attached fluorophore and the charge of the capping reagent used to cap branched side chains. Capping these side chains can help yield a favorably charged dextran which can be neutral, almost neutral (e.g., rhodamine and SR101 fluorophores that are zwitterionic), or anionic.
Lysinated dextrans may also be preferred as they are useful for applications that require the dextran tracer to be treated with aldehyde fixatives prior to analysis. It is important to note that smaller sized dextrans do not easily survive fixation, and are often avoided in these techniques. Likewise, dextrans may also be chemically activated prior to use. After functionalization, each dextran conjugate will have roughly 10-50 functional groups on each molecule, depending on the MW of the conjugate. Though many other functional groups exist, some common groups include amines, maleimides, azides, vinyl sulfones, alkynes, sulfonated groups, and phosphorylated groups.
Types of Dextran Conjugates

Fluorescein
Fluorescein-labeled dextrans are arguably the most popular labeling fluorochrome, and maintain an excitation/emission (ex/em) of ~495 /519 nm. Fluorescein labels offer relatively high absorption, an excellent fluorescence quantum yield, are well equipped for use in standard laboratory techniques like confocal microscopy and flow cytometry, and are exceedingly inexpensive.
Fig. 2
FITC-dextran conjugate
Some common types of fluorescein labels include FITC, and AFM, and these dextrans have notably been used for studying intercellular communications, membrane permeability assays, to follow endocytosis, to indicate pH changes in a microenvironment, to study fluid movement, and to trace cell lineages and neurons.
Application Note
Rhodamine
Alternatively, dextrans can also be labeled with rhodamine. Rhodamines based dyes offer longer wavelengths and emission maxima over fluorescein-based dyes, opening opportunities for multicolor labeling. Tetramethylrhodamine (TMR) is the most popular rhodamine dye, and has an ex/em maxima of ~555/580 nm. The carboxylic acid form of TAMRA is prominent for DNA sequencing, where these labeled oligonucleotides have established an important role in both Förster resonance energy transfer (FRET) and real-time PCR applications.
Fig. 3
Rhod-2 dextran conjugate
Another variation of TMR, the isothiocyanate derivative (TRITC), exhibits a bright red-orange fluorescence with similar ex/em maxima to TMR. Rhodamine dyes fluoresce brightly, are photostable and water soluble, and allow easy detection in very low concentrations using simple fluorometers.
Cyanines
Cyanine (Cy) labeled dextrans were introduced to allow for a broader range of the light spectrum to be utilized, and are well suited for in vivo fluorescent imaging. These near-infrared (NIR) fluorescent dextrans have better tissue penetration capability and are less affected by autofluorescence, a common feature of some biological tissues. One consideration of Cy dyes is that they exhibit self-aggregating properties in aqueous solution and may show cis-trans isomerization that decreases fluorescence.
Cy dextran conjugate derivatives differ in structure simply by the number of carbons in the conjugated poly-ene linkage. Though, generally, Cys with fewer carbons in the poly-ene chain may offer increased stability than those with more carbons, the choice of Cy dye should be based on application. For example, longer wavelength dyes (Cy7 or Cy7.5) may be better suited for NIR applications.
Biotin
Many times dextrans are labeled with biotin prior to use to form what are commonly known as biotinylated dextran amine (BDA) products. Biotinylation is an indirect labeling technique with a highly versatile use in detection, purification, and amplification systems. Biotinylation is rapid, specific, and unlikely to disturb the natural function of the dextran due to the small size of the molecule (roughly, 244.31 g/mol). Biotin binds to streptavidin and avidin with an extremely high affinity, fast on-rate, and high specificity. Such biotin-avidin or streptavidin systems are widely exploited in biochemical applications, and are often used in detection and separation of target antigens and cells.
Biotin-labeled dextrans are common uses for cell lineage tracing following endocytosis or for use as a neuronal tracer. Biotinylated neurons can be detected by light microscopy (LM) or electron microscopy (EM) following incubation with avidin horseradish peroxidase (HRP) conjugate and the electron-dense substrate 3,3'-diaminobenzidine (DAB).
Intracellular Probes
Fluorescent probes that show spectral responses upon binding a specific intracellular target (such as calcium ions) or pH changes have enabled researchers to investigate the intracellular concentrations by using fluorescence microscopy, flow cytometry, fluorescence spectroscopy and fluorescence microplate readers.
Fig. 4
Emission spectra of Protonex™ Green 500
The pH dependent Emission spectra of Protonex™ Green 500.
Cells may be physically loaded with the cell-impermeant salt forms of these dextran-conjugated indicators using patch pipette or microinjection. The fluorescence signal from these cells is measured using fluorescence microscopy. When compared to the AM ester forms, the dextran forms of these fluorescent indicators typically show a dramatic reduction in both leakage and compartmentalization.
Multi-labeled/tandem
Multiple-labeled dextran conjugates are used heavily for neuronal tracing experiments as well as multicolor imaging of other types of live cells. Smaller labels are often involved in such experiments as they tend to be more flexible. Labels can be combined with other anterograde or retrograde tracers with fluorescent dextran amines, and visualized by multi-color fluorophore multiple-labeling via immunolabeling (for permanent labels) or multiple simultaneous immunofluorescence (for fluorescence viewing). Sufficient tracers and distinct markers are additionally available for triple- and even quadruple-labeling in fluorescent microscopy, LM or EM.
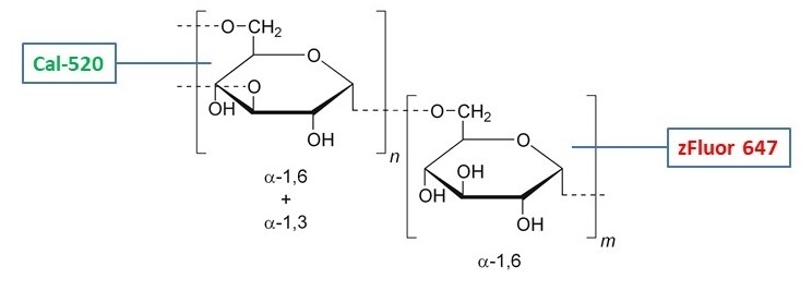
Fig. 5
RatioWorks™ Cal-520®/zFluor 647™-Dextran Conjugate
Chemical structure of RatioWorks™ Cal-520®/zFluor 647™-Dextran Conjugate, which carries both a calcium-independent zFluor™ 647 fluorophore as a reference color for ratiometric measurements, and a Cal-520 fluorophore for monitoring low level calcium ions.
Applications

Dextrans are commonly used in studying exclusion properties, like vascular networks in cell membranes, intracellular communication through gap junctions, or even artificial polymer matrices. Dextrans are also an excellent choice when studying microvascular permeability of healthy versus diseased tissues, in real time. Dextrans can be applied to investigate vascular permeability and the blood-brain barrier integrity, or can be used to study hydrodynamic properties of the cytoplasmic matrix.
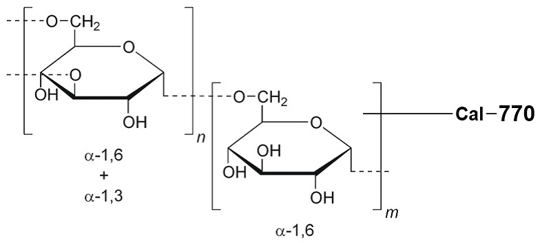
Fig. 6
Cal-770™ dextran conjugate
Chemical structure of Cal-770™ dextran conjugate. Due to its longer fluorescence wavelength (maximum emission of ~775 nm) it is optimized for in vivo imaging.
Experiments involving dextrans can even be advantageous in monitoring acidification as some dextran-dye conjugates are pH-sensitive. Other popular applications of dextran include cell lineage tracing in live cells where, for example, cancerogenesis or embryogenesis can be tracked, or for the purpose of examining intercellular communication during wound healing.
Sometimes, a particular dextran conjugate will be best suited for a specific application. For example, a major application of TRITC-dextran is for characterizing the permeability of semi-permeable membranes in either synthetic or natural tissues. Simultaneous use of multiple dextrans of varying MWs can be used for experiments designed to trace and project the fate of neurons in live cells. Labeled dextrans can function as anterograde or retrograde tracers, depending on the study method and tissue type, and are useful to monitor the uptake and internal processing of exogenous materials in endocytosis, endosome fusion, cell membrane changes, or vesicular morphology.
Dextrans tagged with caged dyes can be particularly useful in fluorescent applications, where the dextran can be injected into cells at early stages in the cell life cycle and then activated and visualized later. These caged fluorophore-dextran conjugates can also be equipped to study fluid dynamics within a cellular microenvironment for identifying macromolecular diffusion through cytoplasm, liposome encapsulation, or even vascular flow.
Product Ordering Information

References


Document: 01.0137.230715r1
Last updated Thu Oct 23 2025